1FZ-FE engine with H55f transmission?

This site may earn a commission from merchant affiliate
links, including eBay, Amazon, Skimlinks, and others.

Here are the part numbers as promised.

Flywheel (FZJ70) : 13405-66020
Disc : 31250-36150
Clutch Cover (PP) : 31210-66030
Slave Cylinder : 31470-60171
Pilot bearing : 90363-15017
Release Fork : 31204-36110
T/O Bearing : 31230-60130

Fantastic! We should have all of the replacement clutch parts here. One question on the 31210-66030, can you confirm that is the right number?
 
Now that is what I want it's just hard to justify the price. Any idea how much the rest of the setup would cost such as shifter, console, pedals, clutch cylinder ect?

By time to grab all the bits and get a standalone you are talking hdj80 money I would think.

$6500-very used-imported- 1hdt vs $6500 robbie built zero mile new 4.61fz ??.........you still would want a 1hdt?
 
Last edited:
Here are the part numbers as promised.

Flywheel (FZJ70) : 13405-66020
Disc : 31250-36150
Clutch Cover (PP) : 31210-66030
Slave Cylinder : 31470-60171
Pilot bearing : 31210-60030
Release Fork : 31204-36110
T/O Bearing : 31230-60130

I've been alternating driving my 60 and Dad's 80 these last couple weeks, and I've been mulling over how sweet it would be to pop that smooth, stout 1FZ in the 60 and still be able to row the gears. Then I find this thread and about jumped out of my chair. What's the cost for the BOM to make this happen, guys?
 
Is the h55f strong enough compared to thé h151f? Considering mods like big tires, expedition gears ect
 
Is the h55f strong enough compared to thé h151f? Considering mods like big tires, expedition gears ect

I have the H55F rated above the H151 .. ( have both and the H150 to compare on my Cruisers )
 
That’s good to know. I’ve always wanted a H55F and a bbox in a 80. I thought the H55F to be light built for a turbo diesel 80
Reason to this is that the hzj73 enthousiasts here are complaining about this gearbox when added a turbo to their naturally aspirated 4.2 engine
 
This FJCO option kept my attention for more than a couple days so I did some digging.

It's been stated on numerous threads that a US market 1FZ will require a new M/T ECU...BUT, I haven't found a proven reason why yet. That led to me pulling EWDs and pinouts for a '95 US 1FZ-FE and mapping each ECU pin. I've only found 2 I/O pins that have anything to do with the transmission; a P-N safety switch and A/T oil temp, both of which are easily defeated to resolve a likely MIL. What gives?? What info or experiences does this hive-mind have that shows why an M/T ECU is required?

If it won't work, that's fine; but the kid/enginerd in me needs to know why, specifically, and I know there are others out there who would appreciate the closure as well.
 
As stated.. Pilot Bearing supplied number 31210-36330 --> Right # -> 90363-15017
Clutch Cover assembly supplied number 31210-66030 --> Right # -> 31210-60030 replaced by 31210-36330.
 
Zjohnsonua
This FJCO option kept my attention for more than a couple days so I did some digging.

It's been stated on numerous threads that a US market 1FZ will require a new M/T ECU...BUT, I haven't found a proven reason why yet. That led to me pulling EWDs and pinouts for a '95 US 1FZ-FE and mapping each ECU pin. I've only found 2 I/O pins that have anything to do with the transmission; a P-N safety switch and A/T oil temp, both of which are easily defeated to resolve a likely MIL. What gives?? What info or experiences does this hive-mind have that shows why an M/T ECU is required?

If it won't work, that's fine; but the kid/enginerd in me needs to know why, specifically, and I know there are others out there who would appreciate the closure as well.


I am very interested in what you have initiated researching here. I am bound and determined to follow through with a 1fz fe swap into my fj40. I am in the process of selecting a 93-98 TLC to tear apart.
 
There is what appears to be a pair of datalink pins on the ECU as well which makes perfect sense given this thing runs OBD1. I haven't dug into the transmission side of things as much as I would have liked to, but if there is a separate transmission controller then I suspect there is going to be an early CANbus to tangle with...that'll change things. If a bus is involved then it's still defeatable, just not as easily.
 
There is what appears to be a pair of datalink pins on the ECU as well which makes perfect sense given this thing runs OBD1. I haven't dug into the transmission side of things as much as I would have liked to, but if there is a separate transmission controller then I suspect there is going to be an early CANbus to tangle with...that'll change things. If a bus is involved then it's still defeatable, just not as easily.
Where have you sourced your material for the ECU pins etc.. ?
 
There is what appears to be a pair of datalink pins on the ECU as well which makes perfect sense given this thing runs OBD1. I haven't dug into the transmission side of things as much as I would have liked to, but if there is a separate transmission controller then I suspect there is going to be an early CANbus to tangle with...that'll change things. If a bus is involved then it's still defeatable, just not as easily.
Any information I have been able to find so far gives me a pretty good idea that a 95 1fz fe setup is not built using a CAN bus system.
 
You caught me on a slow day, so I went looking for Cruise and A/T control dwgs and found more EWDs. They help to fill in a few pins that I was missing data for. The short version is that I still don't see a reason why an M/T ECU is needed.

There are 15 pins that directly control transmission solenoids or share a transmission circuit in some way (ECT PWR switch, O/D OFF switch, R, 2, L, etc). However, all can be defeated reasonably easily or aren't required by the ECM for general use (e.g. ECT PWR). The only weird pin is one that the EWDs map as both a blank or a ground depending on which one is referenced.

I'd love to get one of these engines on a stand and get it running to prove this idea out. Anyone have a 1FZ-FE lying around and want to help this out? I'll be happy to help-develop/do the electrics.
 
Last edited:
You caught me on a slow day, so I went looking for Cruise and A/T control dwgs and found more EWDs. They help to fill in a few pins that I was missing data for. The short version is that I still don't see a reason why an M/T ECU is needed.

There are 15 pins that directly control transmission solenoids or share a transmission circuit in some way (ECT PWR switch, O/D OFF switch, R, 2, L, etc). However, all can be defeated reasonably easily or aren't required by the ECM for general use (e.g. ECT PWR). The only weird pin is one that the EWDs map as both a blank or a ground depending on which one is referenced.

I'd love to get one of these engines on a stand and get it running to prove this idea out. Anyone have a 1FZ-FE lying around and want to help this out? I'll be happy to help-develop/do the electrics.
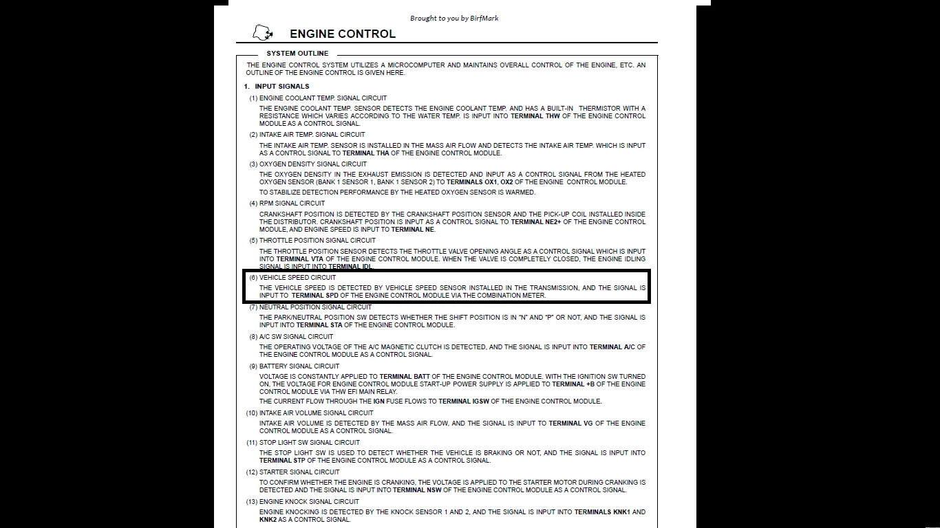
It looks like the ECU utilizes the vehicle speed circuit from the transmission, according to the 96 material

ecu input.webp


ECU INPUTS 2.webp


ECU input from trans.webp
 
Sounds like speedometer cluster and sensor off of transfer case to me.. but then I'm no electrical engineer... LOL!
Just a wild a$$ guess...
 
Sounds like speedometer cluster and sensor off of transfer case to me.. but then I'm no electrical engineer... LOL!
Just a wild a$$ guess...
Sweet ! How does a guy go about recreating the speed signal that the auto trans. sends to the e.c.u. ?
 
Back
Top Bottom